Номер 271 - ГДЗ Алгебра 7 класс. Мерзляк, Полонский. Учебник. Страница 55

Вернуться к содержанию учебника

Страница 55

268 269 270 271 272 273 274

Вопрос

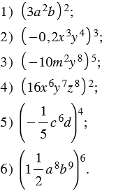
Преобразуйте в одночлен стандартного вида выражение:

Подсказка

Ответ


Вернуться к содержанию учебника