Номер 266 - ГДЗ Алгебра 7 класс. Мерзляк, Полонский. Учебник. Страница 54

Вернуться к содержанию учебника

Страница 54

263 264 265 266 267 268 269

Вопрос

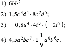
Представьте одночлен в стандартном виде, подчеркните его коэффициент:

Подсказка

Ответ


Вернуться к содержанию учебника