Номер 270 - ГДЗ Алгебра 7 класс. Мерзляк, Полонский. Учебник. Страница 55

Вернуться к содержанию учебника

Страница 55

267 268 269 270 271 272 273

Вопрос

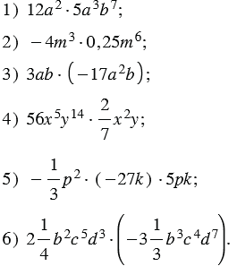
Упростите выражение:

Подсказка

Ответ


Вернуться к содержанию учебника