Номер 275 - ГДЗ Алгебра 7 класс. Мерзляк, Полонский. Учебник. Страница 55

Вернуться к содержанию учебника

Страница 55

272 273 274 275 276 277 278

Вопрос

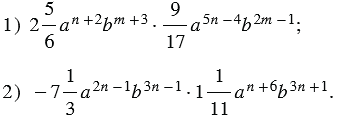
Выполните умножение одночленов, где и - натуральные числа:

Подсказка

Ответ


Вернуться к содержанию учебника