Номер 903 - ГДЗ Алгебра 8 класс. Мерзляк, Полонский. Учебник. Страница 224

Вернуться к содержанию учебника

Упражнения для повторения курса алгебры 8 класса. Страница 224

900 901 902 903 904 905 906

Вопрос

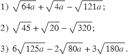
Упростите выражение:

Подсказка

Ответ


Вернуться к содержанию учебника