Номер 900 - ГДЗ Алгебра 8 класс. Мерзляк, Полонский. Учебник. Страница 224

Вернуться к содержанию учебника

Упражнения для повторения курса алгебры 8 класса. Страница 224

897 898 899 900 901 902 903

Вопрос

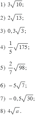
Внесите множитель под знак корня:

Подсказка

Ответ


Вернуться к содержанию учебника