Номер 754 - ГДЗ Алгебра 8 класс. Мерзляк, Полонский. Учебник. Страница 185

Вернуться к содержанию учебника

Упражнения §22. Страница 185

751 752 753 754 755 756 757

Вопрос

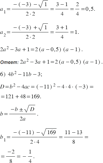
Разложите на линейные множители трехчлен:

Подсказка

Ответ


Вернуться к содержанию учебника