Номер 753 - ГДЗ Алгебра 8 класс. Мерзляк, Полонский. Учебник. Страница 185

Вернуться к содержанию учебника

Упражнения §22. Страница 185

7 751 752 753 754 755 756

Вопрос

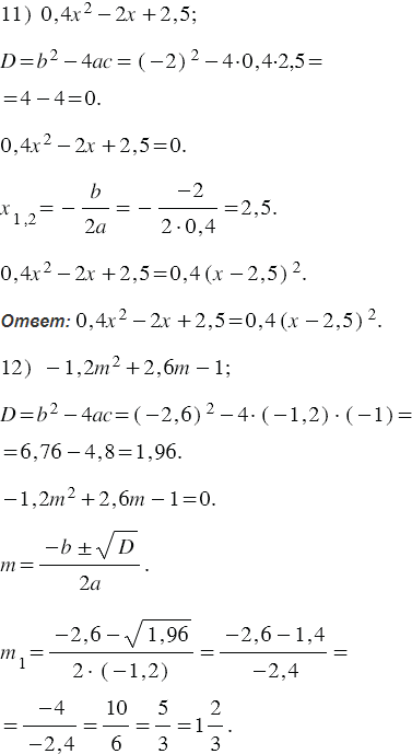
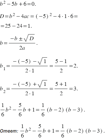
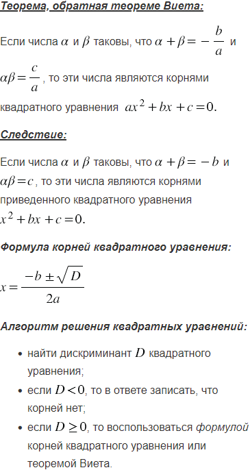
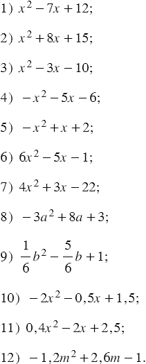
Разложите на линейные множители квадратный трёхчлен:

Подсказка

Ответ


Вернуться к содержанию учебника