Номер 387 - ГДЗ Алгебра 8 класс. Мерзляк, Полонский. Учебник. Страница 100

Вернуться к содержанию учебника

Упражнения § 12. Страница 100

384 385 386 387 388 389 390

Вопрос

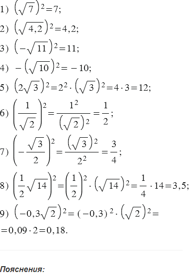
Найдите значение выражения:

Подсказка

Вспомните:

  1. Что называют арифметическим квадратным корнем числа.
  2. Как обозначают арифметический квадратный корень из числа.
  3. Что такое степень числа.
  4. Что такое квадрат числа.
  5. Свойства степени с натуральным показателем.
  6. Умножение рациональных чисел.

Ответ


Вернуться к содержанию учебника