Номер 383 - ГДЗ Алгебра 8 класс. Мерзляк, Полонский. Учебник. Страница 100

Вернуться к содержанию учебника

Упражнения § 12. Страница 100

380 381 382 383 384 385 386

Вопрос

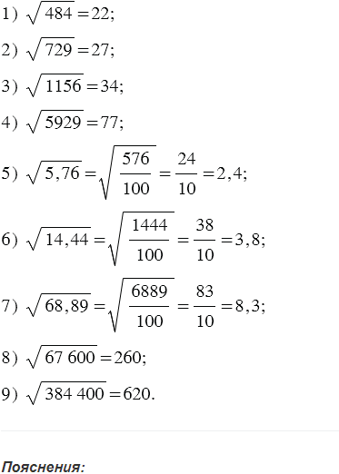
Пользуясь таблицей квадратов натуральных чисел, приведённой на форзаце, найдите:

Подсказка

Вспомните:

  1. Что называют арифметическим квадратным корнем числа.
  2. Как обозначают арифметический квадратный корень из числа.
  3. Что такое степень числа.
  4. Что такое квадрат числа.
  5. Запись десятичных и обыкновенных дробей.

Ответ


Вернуться к содержанию учебника