Номер 314 - ГДЗ Алгебра 7 класс. Мерзляк, Полонский. Учебник. Страница 64

Вернуться к содержанию учебника

Страница 64

311 312 313 314 315 316 317

Вопрос

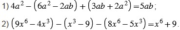
Докажите тождество:

Подсказка

Вспомните:

  1. Что называют тождеством.
  2. Правила раскрытия скобок, подобные слагаемые.
  3. Противоположные числа.
  4. Правила сложения рациональных чисел.
  5. Правило вычитания рациональных чисел.
  6. Модуль числа.

Ответ


Вернуться к содержанию учебника