Номер 312 - ГДЗ Алгебра 7 класс. Мерзляк, Полонский. Учебник. Страница 63

Вернуться к содержанию учебника

Страница 63

309 310 311 312 313 314 315

Вопрос

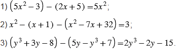
Решите уравнение:

Подсказка

Вспомните:

  1. Что значит решить уравнение.
  2. Свойства уравнений.
  3. Линейное уравнение и его корни.
  4. Правила раскрытия скобок, подобные слагаемые.
  5. Противоположные числа.
  6. Правила сложения рациональных чисел.
  7. Правило вычитания рациональных чисел.
  8. Модуль числа.
  9. Деление и дроби.
  10. Правила деления рациональных чисел.

Ответ


Вернуться к содержанию учебника