Номер 762 - ГДЗ Алгебра 8 класс. Мерзляк, Полонский. Учебник. Страница 186

Вернуться к содержанию учебника

Упражнения §22. Страница 186

759 760 761 762 763 764 765

Вопрос

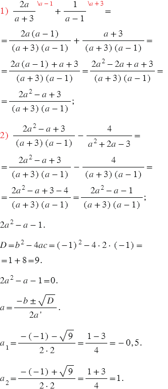
Докажите, что при всех допустимых значениях значение выражения не зависит от значения переменной:

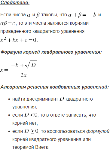
Подсказка

Ответ


Вернуться к содержанию учебника