Вернуться к содержанию учебника
Упражнения §20. Страница 171
688 689 690 691 692 693 694 695 696 697 698
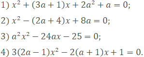
Для каждого значения решите уравнение:
Вспомните: