Номер 671 - ГДЗ Алгебра 8 класс. Мерзляк, Полонский. Учебник. Страница 169

Вернуться к содержанию учебника

Упражнения §20. Страница 169

668 669 670 671 672 673 674

Вопрос

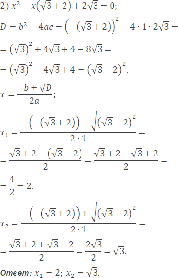
Решите уравнение:

Подсказка

Ответ


Вернуться к содержанию учебника