Номер 664 - ГДЗ Алгебра 8 класс. Мерзляк, Полонский. Учебник. Страница 169

Вернуться к содержанию учебника

Упражнения §20. Страница 169

661 662 663 664 665 666 667

Вопрос

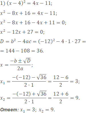
Решите уравнение:

Подсказка

Ответ


Вернуться к содержанию учебника