Номер 634 - ГДЗ Алгебра 8 класс. Мерзляк, Полонский. Учебник. Страница 161

Вернуться к содержанию учебника

Упражнения §19. Страница 161

631 632 633 634 635 636 637

Вопрос

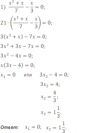
Решите уравнение:

Подсказка

Ответ


Вернуться к содержанию учебника