Номер 452 - ГДЗ Алгебра 8 класс. Мерзляк, Полонский. Учебник. Страница 114

Вернуться к содержанию учебника

Упражнения §14. Страница 114

449 450 451 452 453 454 455

Вопрос

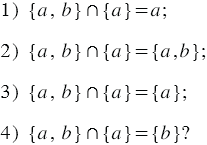
Истинным или ложным является высказывание:

Подсказка

Вспомните:

  1. Что называют множеством.
  2. Что называют элементом множества.
  3. Что называют пересечением двух множеств.

Ответ


Вернуться к содержанию учебника