Номер 434 - ГДЗ Алгебра 8 класс. Мерзляк, Полонский. Учебник. Страница 108

Вернуться к содержанию учебника

Упражнения § 13. Страница 108

431 432 433 434 435 436 437

Вопрос

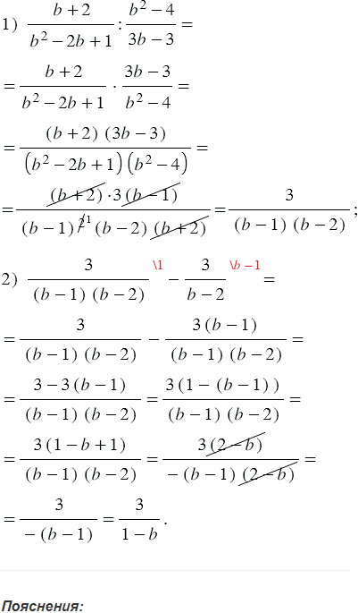
Упростите выражение:

Подсказка

Ответ


Вернуться к содержанию учебника