Номер 406 - ГДЗ Алгебра 8 класс. Мерзляк, Полонский. Учебник. Страница 103

Вернуться к содержанию учебника

Упражнения § 12. Страница 103

403 404 405 406 407 408 409

Вопрос

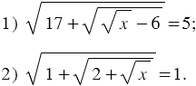
Решите уравнение:

Подсказка

Ответ


Вернуться к содержанию учебника