Номер 400 - ГДЗ Алгебра 8 класс. Мерзляк, Полонский. Учебник. Страница 102

Вернуться к содержанию учебника

Упражнения § 12. Страница 102

397 398 399 400 401 402 403

Вопрос

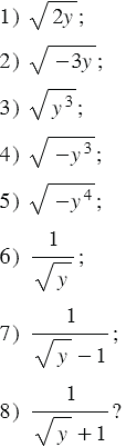
При каких значениях имеет смысл выражение:

Подсказка

Вспомните:

  1. Что называют арифметическим квадратным корнем числа.
  2. Как обозначают арифметический квадратный корень из числа.
  3. Как называют выражение, стоящее под радикалом.
  4. Что такое степень числа.
  5. Что такое квадрат числа.
  6. Какие числа называют неотрицательными.
  7. Что такое модуль числа.
  8. Рациональная дробь.
  9. Допустимые значения переменных.
  10. Умножение рациональных чисел.

Ответ


Вернуться к содержанию учебника