Номер 1187 - ГДЗ Алгебра 7 класс. Мерзляк, Полонский. Учебник. Страница 231

Вернуться к содержанию учебника

Страница 231

1184 1185 1186 1187 1188 1189 1190

Вопрос

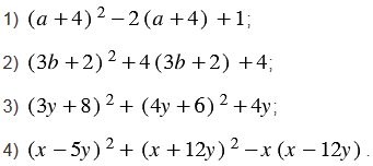
Представьте в виде квадрата двучлена выражение:

Подсказка

Вспомните:

  1. Какие выражения называют одночленами.
  2. Какие выражения называют многочленами.
  3. Квадрат суммы и квадрат разности двух выражений.
  4. Степень с натуральным показателем.
  5. Свойства степени с натуральным показателем.
  6. Умножение одночлена на многочлен.
  7. Умножение многочлена на многочлен.
  8. Раскрытие скобок и приведение подобных слагаемых.
  9. Свойства действий с рациональными числами.

Ответ


Вернуться к содержанию учебника