Номер 485 - ГДЗ Алгебра 7 класс. Мерзляк, Полонский. Учебник. Страница 89

Вернуться к содержанию учебника

Страница 89

482 483 484 485 486 487 488

Вопрос

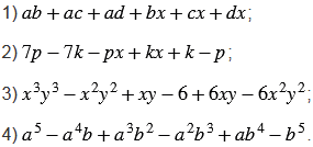
Представьте выражение в виде произведения многочленов:

Подсказка

Вспомните:

  1. Что называют многочленом.
  2. Что называют разложением многочлена на множители (способ группировки).
  3. Правила умножения рациональных чисел.
  4. Правило вычитания рациональных чисел.
  5. Свойства действий с рациональными числами.
  6. Какие числа называют противоположными.
  7. Степень с натуральным показателем.
  8. Свойства степени с натуральным показателем.

Ответ


Вернуться к содержанию учебника