Номер 466 - ГДЗ Алгебра 7 класс. Мерзляк, Полонский. Учебник. Страница 86

Вернуться к содержанию учебника

Страница 86

463 464 465 466 467 468 469

Вопрос

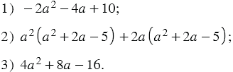
Известно, что при некотором значении значение выражения равно 4. Найдите при этом значении значение выражения:

Подсказка

Ответ


Вернуться к содержанию учебника