Номер 440 - ГДЗ Алгебра 7 класс. Мерзляк, Полонский. Учебник. Страница 83

Вернуться к содержанию учебника

Страница 83

437 438 439 440 441 442 443

Вопрос

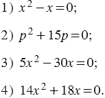
Решите уравнение:

Подсказка

Ответ


Вернуться к содержанию учебника