Номер 352 - ГДЗ Алгебра 7 класс. Мерзляк, Полонский. Учебник. Страница 67

Вернуться к содержанию учебника

Страница 67

349 350 351 352 353 354 355

Вопрос

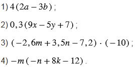
Раскройте скобки:

Подсказка

Вспомните:

  1. Распределительное свойство умножения.
  2. Умножение десятичных дробей.
  3. Правила умножения рациональных чисел.
  4. Правила вычитания рациональных чисел.
  5. Модуль числа.
  6. Противоположные числа.

Ответ


Вернуться к содержанию учебника