Номер 294 - ГДЗ Алгебра 7 класс. Мерзляк, Полонский. Учебник. Страница 60

Вернуться к содержанию учебника

Страница 60

291 292 293 294 295 296 297

Вопрос

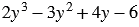
Найдите значение многочлена при:

Подсказка

Вспомните:

  1. Что называют многочленом.
  2. Степень числа с натуральным показателем.
  3. Правила умножения рациональных чисел.
  4. Правило вычитания рациональных чисел.
  5. Правила сложения рациональных чисел.
  6. Противоположные числа.
  7. Модуль числа.
  8. Четные и нечетные числа.

Ответ


Вернуться к содержанию учебника