Номер 286 - ГДЗ Алгебра 7 класс. Мерзляк, Полонский. Учебник. Страница 56

Вернуться к содержанию учебника

Страница 56

283 284 285 286 287 288 289

Вопрос

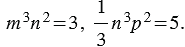
Значения переменных , и таковы, что Найдите значение выражения:

Подсказка

Ответ


Вернуться к содержанию учебника