Номер 212 - ГДЗ Алгебра 7 класс. Мерзляк, Полонский. Учебник. Страница 47

Вернуться к содержанию учебника

Страница 47

209 210 211 212 213 214 215

Вопрос

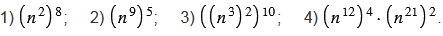
Представьте в виде степени с основанием выражение:

Подсказка

Вспомните:

  1. Что называют степенью числа с натуральным показателем.
  2. Как возвести степень в степень и умножить степени с одинаковыми основаниями.

Ответ


Вернуться к содержанию учебника