Номер 197 - ГДЗ Алгебра 7 класс. Мерзляк, Полонский. Учебник. Страница 42

Вернуться к содержанию учебника

Страница 42

194 195 196 197 198 199 200

Вопрос

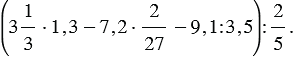
Вычислите значение выражения:

Подсказка

Ответ


Вернуться к содержанию учебника