Номер 312 - ГДЗ Математика 6 класс. Мерзляк, Полонский. Учебник. Страница 62

Вернуться к содержанию учебника

Страница 62

309 310 311 312 313 314 315

Вопрос

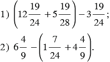
Найдите значение выражения, выбирая удобный порядок вычислений:

Подсказка

Ответ


Вернуться к содержанию учебника