Номер 290 - ГДЗ Математика 6 класс. Мерзляк, Полонский. Учебник. Страница 59

Вернуться к содержанию учебника

Страница 59

287 288 289 290 291 292 293

Вопрос

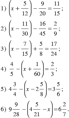
Решите уравнение:

Подсказка

Вспомните:

  1. Обыкновенная дробь.
  2. Смешанные числа.
  3. Основное свойство дроби.
  4. Сокращение дробей.
  5. Приведение дробей к общему знаменателю.
  6. Сложение и вычитание дробей с одинаковыми знаменателями.
  7. Сложение и вычитание дробей с разными знаменателями и смешанных чисел.
  8. Что называют уравнением.
  9. Что называют корнем уравнения.
  10. Правила нахождения неизвестного слагаемого, уменьшаемого и вычитаемого.

Ответ


Вернуться к содержанию учебника