Номер 9. Обыкновенные дроби. Проверь себя - ГДЗ Математика 5 класс. Мерзляк, Полонский. Учебник. Страница 202

Вернуться к содержанию учебника

Обыкновенные дроби. Проверь себя. Страница 202

6 7 8 9 10 11 12

Вопрос

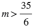
Чему равно наименьшее натуральное значение , при котором верно неравенство ?

А) 4          Б) 5          В) 6          Г) 7

Подсказка

Вспомните:

  1. Какое число называется натуральным.
  2. Какое число называется смешанным.
  3. Сравнение натуральных чисел.

Ответ

6 7 8 9 10 11 12


Вернуться к содержанию учебника